INDUSTRY:
EDUCATION
CLIENT:
ESPM
YEAR:
2021
EXPERIENCE:
UX/UI DESIGN
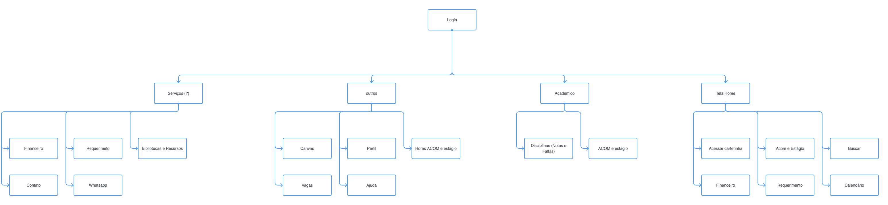
This is my final project for my graduation course in Visual Design with Marketing Emphasis. For this project, we decided to redesign the student experience with the institution app.
Challenge
During the graduation, we have noticed an inconsistency at the institution position: the experience with the digitals platforms did not translate the institution values, innovation and attitude.
Considering the empiric perception about the real difficulties of navigation and access to information faced by the students while navigating the student app, a redesign was necessary
Goal
This Graduation Project has as goal to strengthen the ESPM brand position of innovation and “inusitude” (unexpected + atitute), through redesigning the student experience on the institucional digital platforms.
My Role
This project was made with me and a colleague, under academics orientation
My Responsabilities
I worked on research, concept creation, interviews, wireframes, sketches, prototypes, and guidelines creation.
research
The project was initiated with the belief that there was significant potential for improvement in the institution's platforms. To establish a solid foundation, comprehensive research and analysis were conducted in several critical areas. This included examining Brand Positioning, assessing the Micro and Macroenvironment, and performing quantitative research with the institution's students.
Brand Concepts
market analysis
Macroenvironment
Microenvironment
Quantitative research
design evaluation
solution
results
The proposed redesign of the ESPM student app reinforces the institution's positioning and further increases its influence in the market. An essential and highly useful tool for the institution and its students.




















